按关键词阅读:
北京大学
北大
可以说,韦东奕在当代我们常见的学术群像中,很有一种“返璞归真”之美。他的爆火,因为很符合社会一种理想的学术期待,即保持一种纯粹的学术追求,对身外之物云淡风轻。
他仅用时三年半就获得了博士学位,现任北京大学助理教授。还是那句话,韦神毕竟是韦神,转型做科研的他,依旧是值得敬仰的存在。
从15年8月至今,短短几年时间,韦东奕已经发表了25篇论文,其中多篇发表在国际一流期刊上。
其中,韦东奕在“二维不可压缩欧拉方程的线性阻尼问题”上取得了重要研究进展,该成果已经被国际顶尖数学期刊《Comm. Pure Appl. Math.》接受发表,韦东奕也因此荣获国家奖学金。
韦东奕优秀到让大家甚至有点儿“忌惮”。纽约大学的林芳华教授曾说:“因为韦东奕很快就可以把别人文章中用到的方法和结果大大简化,所以有些大人物都不敢轻易在文章发表前,把研究提前放在网上……”
近些年来,“精致利己主义”成了一种对某些学者的评价,学术丑闻也不鲜见。在这样的学术环境下,韦神的纯粹与质朴,更像是大学本质意义的回归,也更为珍贵。
当舆论对“馒头”“大瓶装矿泉水”倍感好奇时,他或许根本从未注意,那本就是自然不过的生活习惯。网友也喜欢用凡人的视角去打量一个天才,比如情商高不高、生活能不能自理、这个形象找不找得到女朋友之类。
但这样的担心毫无必要,韦东奕的高中班主任张永华认为:“韦东奕这种数学天才在生活问题上的短板是天生的,社会需要其发挥专长,就应该对其短板给予宽容和帮助。我们不能有偏见,更不能用常规的方式去培养他。”
按照韦东奕现在的学术生涯,起点已经很高了,他完全有很大机会获得更大的学术发展,“韦神”的传说大概率将会续写。有网友这样评价:韦东奕,才是鼓励大家不“躺平”最好的例子,他值得成为一种“正能量”,去鼓舞更多人。
一个人能在一生中找到自己热爱的事物并能不受干扰地投入其中是很珍贵的,从这一点上小编无比羡慕韦东奕,做数学对他来说就和人吃饭喝水一样是生活中自然的一部分。
至于“无聊群众”的评价,一来韦连智能手机都不用,他大概率对网友怎么看一无所知也毫不在意,二来绝大部分人连本科数学都没怎么学去评价韦的学术成就去臧否人物未免有些可笑。当然群众如何评价韦是他们的自由,韦身上的标签和他本人的一些性格特点本来也很容易被神化,网络上的言论既不会影响本人更不会影响整个学术界,姑且就随它去吧。
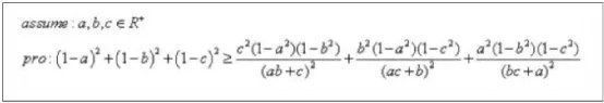
韦东奕虽然退出了竞赛圈,但江湖上仍然流传着这位哥的传说和他创下的一项项无人可超越的记录,对了,还有他的收山之作——“韦东奕不等式”,供后人膜拜仰望。

文章插图
韦东奕不等式
据说,这个不等式是他玩 Jacobi 椭圆函数后得到的副产品。
【 不等式|“韦神”的返璞归真,何尝不是我们向往的生活?】那一年,韦东奕高二。

稿源:(趣口才)
【】网址:/a/2021/0605/1622881018.html
标题:不等式|“韦神”的返璞归真,何尝不是我们向往的生活?( 二 )
人文
日本|他是晚清重臣,两个儿子都是汉奸,孙子辈却个个是栋梁
阅读(17)儿子 李鸿章 日本
然而,张之洞会教育学生,却不会教育自己的子女,他一生有很多子女,到63岁依旧有儿子出生,有记载的只有五个儿子:张仁权、张仁侃、张仁宝、张仁乐、张仁蠡,这五个儿子是三个...
人文
第七期|210605《奔跑吧》第七期节目正片上线 小蔡变身情感大师金句频出
阅读(10)坤坤
【 第七期|210605《奔跑吧》第七期节目正片上线 小蔡变身情感大师金句频出 】在昨晚的《奔跑吧》节目中我们小蔡变身情感大师“感情这种东西不是这样子随便分配的”、“感情这种东...
阅读(19)
01春秋战国的躺平学周灵王年间,周朝国立图书馆馆长李耳,也就是我们所熟知的老子,倡导大家降低欲望,过朴实无华的生活,“祸莫大于不知足,咎莫大于欲得,故知足之足,常足矣...
人文
不等式|“韦神”的返璞归真,何尝不是我们向往的生活?
阅读(29)北大 北京大学
在这质朴形象的背后,却隐藏着一个在数学界几乎封神的天才!韦东奕何许人也?韦东奕,从小就热爱数学,更是痴迷于研究数学,读高二时就已经是第49届、第50届国际数学奥林匹克(...
人文
太史|此人才是三国第一箭神, 吕布、黄忠与之相比,都望尘莫及
阅读(19)孔融 北海 太史
第一,北海突围之战。太史慈当奏曹史时惹怒青州刺史,不得已逃往辽东,一竿子跑到了东北,把母亲留在老家东莱郡黄县,老母一人在家无人照顾,很是可怜,因为太史慈在东莱郡一...
人文
第三季|《顶楼》第三季今晚开播,金素妍、李智雅、柳真等出席发布会
阅读(30)
金素妍金素妍金素妍金贤秀金贤秀金贤秀李智雅李智雅李智雅柳真柳真柳真尹珠熙尹珠熙尹珠熙...
人文
饥饿游戏|初哆咪娱乐:王仁甫被说发福?像纳豆?豆花妹补刀:是鬼娃恰吉
阅读(48)饥饿游戏
▲▼《饥饿游戏》难得让主持人与来宾好好享受露营活动。(图/初哆咪娱乐提供)露营的最大乐趣除了搭帐篷就是野炊,而王仁甫不只能说一口好菜,也自掏腰包带上许多高级食材,...
人文
节目|神秘嘉宾做客《快本》,后期用贴纸挡住脸,发型却暴露了身份
阅读(42)小姐姐 发型
《快本》之所以可以做到,也是跟这有很大的关系。下一期的《快本》也可以说是火爆非常。有关注节目的小伙伴,就可以发现下一期的《快本》邀请来的嘉宾有很多,除了有鞠婧祎、...
人文
姜云升|黄子韬刚磕完cp,转眼就拆了自己的cp,两句话澄清徐艺洋恋情
阅读(48)黄子韬 双十一
其实除了大家会磕CP以外,很多明星也会磕一些有趣的CP,不知道大家在这个双十一过得怎么样呢,是剁手了呢,还是独自一人在家中度过呢,有一位明星在这一天中是在cp中度过的。
...
人文
作案|明侦这案的脑洞和各种作案手法,灵魂互换的顺序,好烧脑
阅读(39)
一年之后,我认识了不同的同学,但是悲剧再次发生到我的身上。我清楚的知道这次的人渣的父亲是军队的人权利很大,我一个平民百姓怎么和他抗衡?而后来我终于承受不住每天晚上...