中书协副主席旭宇的楷书,是一种碑帖结合的创新还是高级涂鸦?
在当今的中书协里,有不少有创新精神的书法大咖,诸如我们熟悉的中书协副主席毛国典,他以隶书成名,他的隶书糅合了汉简,别开生面,自成一体,还有欧楷大咖卢中南,一改欧楷险绝之气象,融入了自己的理解,写出一手温润的楷书,典雅精致,而今天要走进我们视野的也是这样一位大咖,他是今楷的创始人,也是实践者,他的楷书在某种程度上说也是一种新面孔,他就是旭宇,对于他的楷书,是颇有争议的,很多人认为他的楷书是一种碑帖结合的创新,还有一些朋友并不买账,认为他的楷书就是一种贴有标签的高级”涂鸦“,分享你的看法和见解。

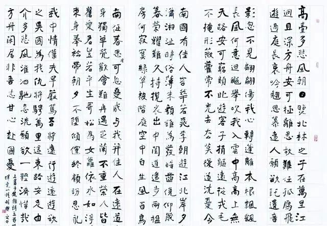
文章插图
要了解旭宇的书法,我们必须先了解一番他,现为中国作家协会会员、中国书法家协会副主席、河北省文联副主席、河北省书法家协会主席,中国散文诗学会副主席等,从众多的头衔上看,他一位集诗歌、书法,作家于一身的大咖,而在当今,楷书被处于一种尴尬的境地,作为中书协楷书委员会委员的他提出了”今楷“的概念,并身先示范,创造性地对楷书进行了一番改革,从他的楷书上就可以看到他所谓的”今楷“现象。

文章插图
其实,从他的楷书上看,还是有深厚的书法功底的,尤其是魏碑功底,能够在他所提倡的”今楷“的面貌下进行革新,整体上既有魏碑的方笔现象,显得十分刚劲,而又有一种看似漫不经心的涂鸦,正因为由此,很多网友认为,他的楷书就是一种”涂鸦“,和书法根本沾不上边,对于这样的看法,很多网友也得到了响应,表示出认同,可是很多书法大家却不这么认为,认为他的楷书是一种高级的碑帖结合,是一种崭新的面貌,是一种创新。

文章插图

文章插图
对于他的楷书,虽然争议颇多,但是他的楷书,尤其是他所提倡的”今楷“却依然很坚挺,而且还在书坛走俏,成为很多人争相模仿的标准,对此,谈谈你的看法?
【中书协副主席旭宇的楷书,是一种碑帖结合的创新还是高级涂鸦?】?
- 92岁书协专家谢云遭网友痛批:中毒太深,邪门歪道!
- 中书协大家王治国,临右军《兰亭序》欣赏,力透纸背可以假乱真
- 中书协副主席孙晓云临《兰亭序》,神形兼备,笔笔惊艳,字字珠玑
- 会写“丑书”很值得骄傲吗?我国书协里为何那么多人写“丑书”?
- 马蓉有书法悟性,书功甚佳,书协大佬:人美笔好,愿收她为徒
- 中国书画家协会副主席·赵云臣作品鉴赏
- 中书协评委终于根据十二届国展做了有高度、有广度,有深度的导向
- 原中书协副秘书长刘正成:书法博士又能怎样?并不就是书法家!
- 中书协书法大家符标让,精选23幅极品行书欣赏,笔笔精妙字字秀丽
- 一个县级官员,文采斐然,书法出类拔萃,中书协又有几人能达到?
