高中数学|初高中衔接:因式分解的13种方法+例题详解,一定要掌握!

文章图片

文章图片

文章图片

文章图片

文章图片

文章图片

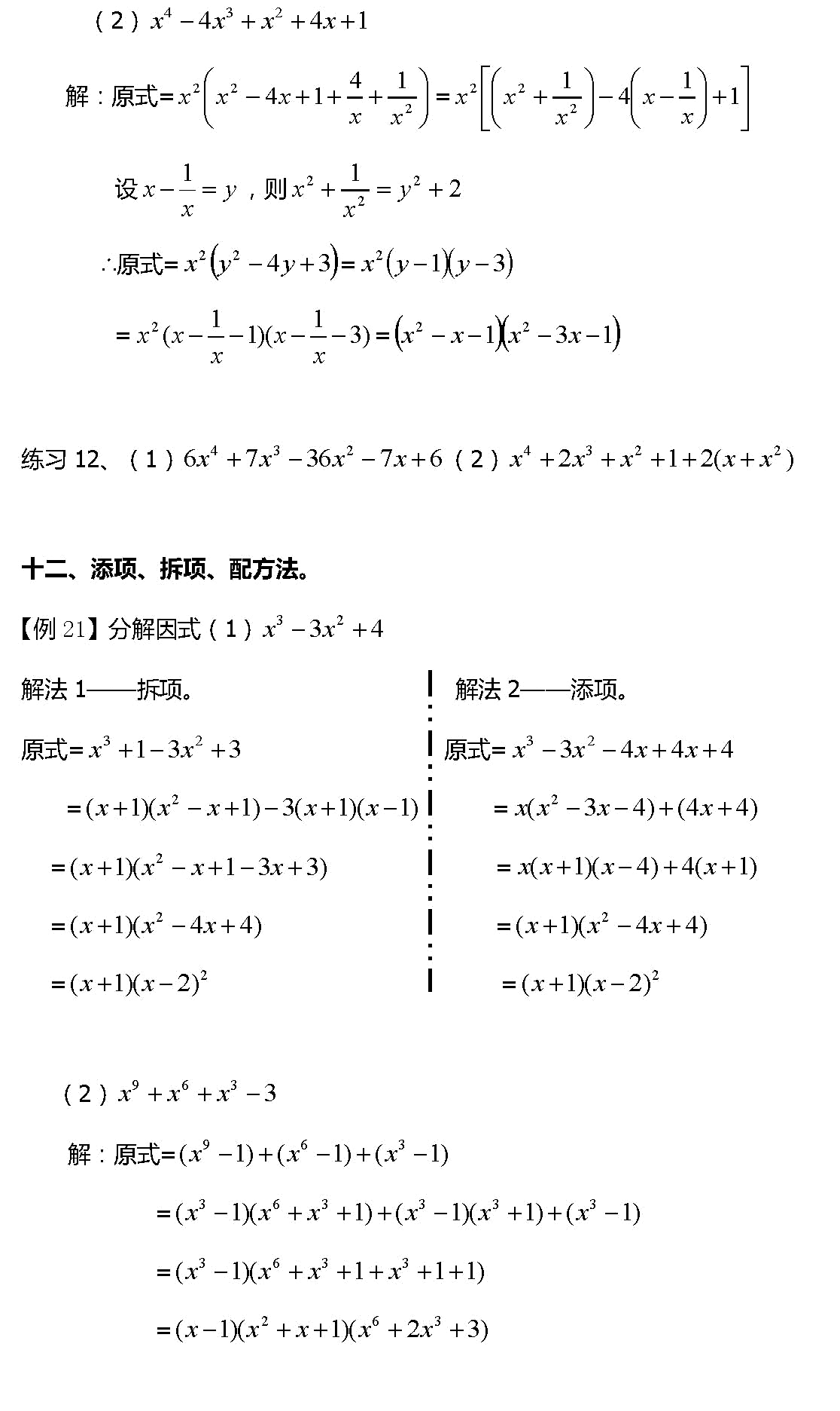
文章图片

初升高后 , 数学内容抽象性、理论性更强 , 使一些初中数学很好的学生难以适应 。 高中数学的思维方法向理性层次跃进 , 初中数学还简单些 , 按一定步骤就可解决 , 而高中数学的解题更复杂 , 要求学生多角度多方面思考 。 知识内容有所增加 , 学生在同样时间内掌握知识的工作量要明显增多 。 因此初升高的衔接知识一定要掌握好 。
今天老师给同学们整理了初高中衔接——因式分解的13种方法 , 这是初升高必须掌握的 , 同学们可以收藏起来打印一份 。
需要word打印版的同学可在文末获取 , 也可关注后 , 发送私信“学习”来免费获取 。
【高中数学|初高中衔接:因式分解的13种方法+例题详解,一定要掌握!】
除以上内容 , 老师还整理了关于数学各模块题型的精讲 , 上面展示的题型库+配套练习 , 课堂中关于如何学好数学的视频课 , 希望你们认真领会并按照课程中所讲坚持下去 , 必见成效 。
免费获取方式:关注后 , 发送私信“学习”即可免费获取 。
如数学“选题秒杀技巧”、十分钟搞定选择题”、“解析几何必杀技”等 , 只要抓住核心考点 , 必考、常考知识清单 , 想知道高中数学常考、必考知识清单都有什么吗?
- 怎样不秃顶|期中温习: 二年级上册数学加法、减法和乘法应用题, 附谜底
- 南京大学|重大数学发现,一南京大学大学生发现一新最简圆周率公式
- 高考|高中生“补不补课”差距有多大?成绩说明一切,家长最好了解一下
- 数学|很讨厌数学的我,数学是怎么高考考到130
- 物理|“新高考”模式,理科优势明显,但也有弊端,高中生该如何选科?
- 数学|2020丘成桐数学竞赛,不只有清华、北大数学强,这些学校也很厉害
- 居委会大爷|零基础入学如何成为学霸之小学课内数学学习建议
- 数学|报考公务员,这些专业很受青睐,填报2021年高考志愿参考
- 笑声快车|数学学科全国“大比武”, 哪些高校榜上有名?
- 穿搭|40岁殷桃逆生长,一身休闲装扮如同高中生,吃喝玩乐好开心
