数学|高考数学:易错易混易忘题汇总全解析,快来学习,提升成绩没问题
【数学|高考数学:易错易混易忘题汇总全解析,快来学习,提升成绩没问题】
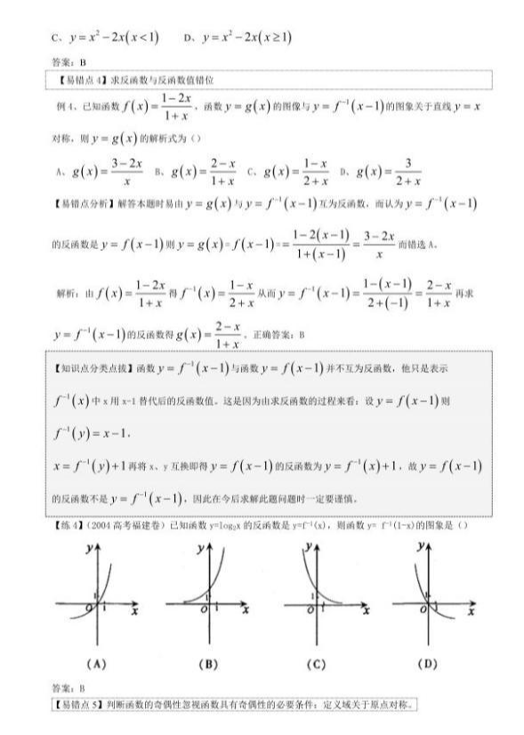
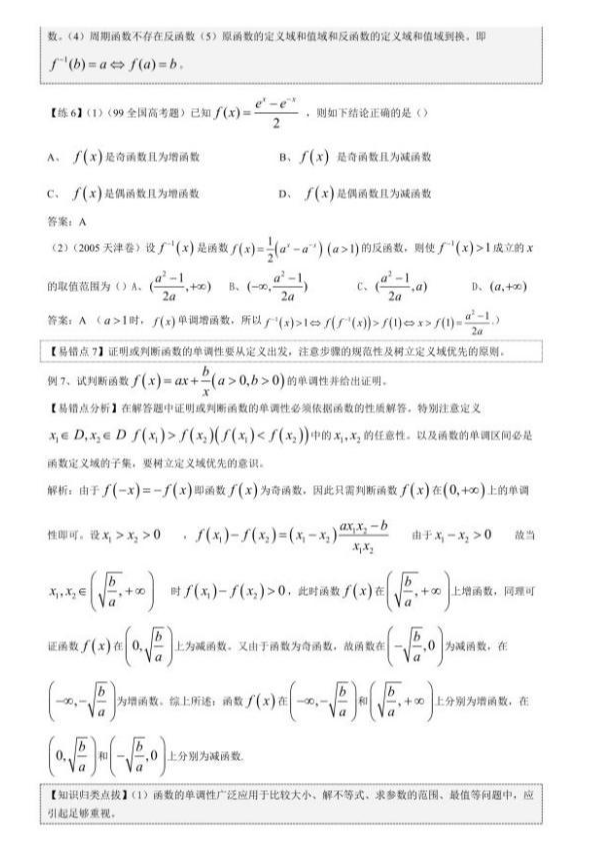
文章图片

文章图片

文章图片

文章图片

“会而不对 , 对而不全”一直以来成为制约学生数学成绩提高的重要因素 , 成为学生挥之不去的痛 , 如何解决这个问题对决定学生的高考成败起着至关重要的作用 。
需要重视例题 , 更要重视的是——考试真题!
最近有同学和我说 , 高中数学很难 , 遇到很多问题都不会 。 也有的同学说高三了 , 开始系统复习了 , 但是数学成绩依旧不好 , 基础也不扎实 。
其实高中数学除了掌握题型与解题方法外 , 同学们要更加注意基础知识的把握 , 不管是高三几轮复习 , 还是高一高二 , 基础知识一直是提升成绩的根本 , 每年高考总分750分 , 却有60%的基础分 , 可就是这些基础 , 很多同学依然拿不到高分!
所以为了帮助同学们更好地学习 , 今天社长整理了(高考数学易错易混易忘题汇总全解析) , 吃透这些 , 相信同学们会有一个很大的提升!
因为篇幅过多 , 发到平台的只是截取的部分资料 , 建议大家来找我领取一份完整资料打印在手里 , 这样才能让知识浮现眼前 , 才真正有作用 。 这些都是无偿分享的呀~
关注社长+私信(并不是要关注 , 不是粉丝我回复不了 。 一定要先主动呦~)
接下来进入正题 。
- 怎样不秃顶|期中温习: 二年级上册数学加法、减法和乘法应用题, 附谜底
- 东北大学|东北大学51名新生取消入学资格,高考调剂真的坑,转专业太难了
- 教育部|教育部最新消息:中高考发生大变化,学生拍手叫好,家长愁坏了
- 哈士奇|头像壁纸:裸熊、全球高考、国家队、二哈和他的白猫师尊、我的男票是锦衣卫
- |为什么每一年的高考试卷,要安排在监狱里面印刷?原因你可能不信
- 985大学|高考想要冲刺985大学, 这2门课程不能落下,成绩要在120分以上
- 大学|高三这类学生很“可悲”,平时成绩优异,高考时进不了三本
- 南京大学|重大数学发现,一南京大学大学生发现一新最简圆周率公式
- |10年前,高考场上张皎扬言做中国首富,最后他却变成了个笑话
- 考试|两个科目纳入中高考,与语数外同分值,家长炸了!
