物理|懂了!新高考选择考4门科目为何要用等级赋分制?如何赋分?

文章图片

从2021年起 , 广东夏季高考总成绩由统一高考科目成绩和学业水平考试选考科目成绩构成 , 满分750分 。
其中 , 统一高考科目语文、数学、外语使用原始成绩计入考生总成绩 , 每门满分150分 。 选考科目中 , 物理或历史使用原始成绩计入考生总成绩 , 每门满分100分;考生在思想政治、地理、化学、生物学中自主选择的两门科目按等级赋分后计入考生总成绩 , 每门满分100分 。
同为选考科目 , 物理、历史为何使用原始成绩计入总分?
高校在录取时 , 将按物理和历史两个类别分列计划、分开划线和分开投档录取 , 选择物理或选择历史的考生在各自的序列中排队 , 成绩具有可比性 。 因此 , 物理或历史可以使用原始成绩计入考生总成绩 。
其他4门选考科目为何需要将原始分按等级赋分后计入总分?
考生从思想政治、地理、化学、生物学4门科目中选择的2门再选科目 , 共有6个选择组合 。报考同一高校同一专业的考生 , 其2门再选科目很可能有所不同 , 如果直接以原始分计入高考总成绩 , 不够科学和公平 。
比如 , 甲考生选考生物 , 乙考生选考思想政治 , 两人原始成绩都是80分 , 但是甲考生在所有选考生物的考生中排名第1000位 , 乙考生在所有选考思想政治的考生中排名第3000位 , 若简单将他们各科成绩相加计入考生总成绩 , 既不公平也不科学 。
设定5个等级 , 转换时将各科目考生原始成绩从高到低划分为A、B、C、D、E共5个等级 , 各等级人数所占比例分别约为17%、33%、33%、15%和2% 。 各科目成绩计入考生总成绩时 , 将A至E等级内的考生原始成绩 , 按照事先确定的比例 , 依照转换公式 , 分别转换到100-83、82-71、70-59、58-41、40-30五个分数区间 , 得到考生的赋分成绩 。
等级区间比例可以保持考生每门学科成绩排名顺序不变 , 确保成绩转换的公平公正 。
等级分的具体计算方法
(一)将每个选考科目的考生群体卷面分转换为等级 。
把每个选考科目考生群体的卷面分从最高分到最低分顺序排列 , 按照考生群体卷面分的统计分布所确定人数比例(见表1)将该选考科目考生群体划分为5个群体 , 每个群体考生赋予1个等级 , 整个考生群体的卷面分被转换为从高到低A、B、C、D、E共5个等级 , 每个考生的等级由其在该选考科目群体的排位确定 。
(二)将等级转换为等级分 。
【物理|懂了!新高考选择考4门科目为何要用等级赋分制?如何赋分?】等级分的满分值为100分、起点分值为30分 , 从A至E每个等级按照1分1档的分数间隔对各个等级进行连续赋分 , 各个等级的等级分赋分区间从17到10分不等(见表1) 。 依此 , 把每个选考科目考生群体的等级成绩从高到低(从A到E)转换为100至30分的等级分数 , 每个等级分数都在一定的等级分区间内 。 根据每个考生的卷面分数及其所在等级的等级赋分区间 , 运用等比例转换法则将其卷面分换算成等级分 。 在A、B、C、D、E的每个等级内卷面分不同的考生 , 根据等比例转换法则可计算得出不同的等级分 , 从而确保卷面分较高的考生换算得到较高的等级分 。
1. 等级换算对应关系 。 各等级及其所占人数比例、等级分赋分区间对应关系如表1所示 。
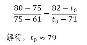
2.等级分换算公式 。 根据等比例转换法则计算每个考生等级分的公式为:
根据公式(1) , 可以算出每个考生的等级分 。
公式(1)表明 , 考生的卷面分和等级分是线性相关的 。 在考生卷面分转换成等级和等级分的过程中 , 考生在相应选考科目考生群体中的成绩排序不会发生变化 。
- 物理|上学时做过开挂一样的事情吗?网友:历史当小说看,我考90,别人考60以下
- 物理|“新高考”模式,理科优势明显,但也有弊端,高中生该如何选科?
- |新高考文理合并,各院校录取分数及位次有哪些变化?
- 游戏|为什么说《最强蜗牛》玩家人均历史学大神?看了这些物品你就懂了
- 梦幻西游兽哥|【启点独家】年内第一大唐光临启点直播间!比三年外还强的物理系你见过吗?
- |老师:新高考最大的“坑”是按照兴趣选科,一张成绩表,说明问题
- 逻辑|比故事更精彩!同为今年大牛股,一家融资导致另两家闪崩,这逻辑你懂了吗?
- 高校|文科被“歧视”?新高考下,文科生的出路在哪里?
- 科学迄今最大三维星系图像覆盖3/4天空
- 穿搭|为何女神杨幂无人敢追?当她穿“开叉裙”上台后:我就懂了
