卫星|既然太空没有阻力,为什么卫星入轨后还要消耗燃油,继续加速?

文章图片

文章图片

文章图片

文章图片

文章图片

文章图片

文章图片

文章图片

我们都知道假如飞机要环球航行的话 , 需要不断加油 , 因为没有飞机的燃油可以支持环绕地球一圈!也知道人造卫星进入轨道后就不再需要加油 , 比如东方红一号 , 飞了半个世纪还在轨道上笑傲江湖!
但我们经常听到国际空间站要加注燃料 , 经常进行轨道抬升 , 而很多通信卫星也需要燃料维持轨道 , 这又是为什么呢?
卫星进入近地轨道的速度飞机时凭借空气动力 , 让机翼产生的升力拖住机身才得以让飞机不会掉到地面上 , 随之而来的代价是空气的阻力和对抗阻力产生的燃油消耗 , 因此飞机上到处都是油箱 , 比如客机和战斗最大的油箱就在机翼中!
飞机上的油箱
卫星飞行的原理和飞机有些不一样 , 它利用的高速环绕地球轨道的“离心力”和引力对抗 , 两者相等的时候就能让卫星一直保持在轨道上 , 当然这个轨道一定要远离大气层 , 避免空气阻力让它逐渐减速最后坠入地球 。
这个卫星飞行的原理 , 牛顿在1687年发表《自然科学的哲学原理》随着万有引力定律一起发表了 , 当时牛顿也就是做个思想实验 , 因为地球就是一个大球体么 , 只要在它表面高速跑动就是圆周运动了 , 足够快就能产生足够的“离心力”对抗引力 。
根据万有引力和环绕运动的“离心力”公式 , 代入相关数据 , 可以计算出地球表面的环绕速度大约是7.9千米/秒 , 当然地表大气稠密 , 需要到300千米以上 , 到那个高度时 , 这个速度就会减小为7.8千米/秒左右!
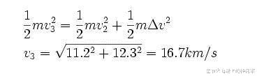
第二宇宙速度和第三宇宙速度假如要飞离地球到达月球 , 那么不只是需要环绕速度 , 而需要一个逃逸速度!要理解逃逸速度也挺简单 , 标准的环绕速度是一个正圆形 , 只要在这个正圆形轨道上持续加速 , 那么它跑出一个开始加速点为近地点的椭圆轨道 , 再加速则会变成大椭圆轨道 , 继续加速则会变成抛物线轨道甚至双曲线轨道 , 当这个椭圆不再闭合时的速度 , 就是逃逸速度 , 也就是地球的第二宇宙速度!
准确的说飞向月球并不需要真正的逃逸速度 , 它只需要一个远地点距离达到38万千米的大椭圆轨道即可 , 比如很多火箭推力不够的月球探测器就是利用星载发动机 , 慢慢将轨道拉到越来越椭圆 , 一直到远地点够着月球!但这个速度已经和逃逸速度相差无几了 , 所以如果有人告诉你去月球需要第二宇宙速度 , 其实也没错!
- 寒武纪科学馆|太空飞船如何安全返回地球?经历哪几个阶段?了解一下
- 中国青年网|如何入环火轨道,揭秘“天问一号”如何在太空保持轨道
- 奇闻类精选|还将进入空间站,网友:这价格漂亮!,SpaceX计划太空旅行
- 探测器|天问一号探测器传来喜讯,太空变轨成功令美震惊,技术从来没见过
- 探测器|天问一号探测器传来喜讯,太空变轨成功令美嫉妒,技术从来没见过
- 爱集微APP|3236 颗卫星,群雄争霸!亚马逊斥资100亿美元入局太空互联网:将发射
- 太空|女宇航员太空离奇受孕,宝宝父亲无人得知!
- 卫星|2020,一切不顺都是地球在自救?多颗卫星同时发现,地球正在变化!
- 中国火星探测器|飞向太空一周之后,中国火星探测器传回一张照片,美决定紧追不舍
- 号外News|落地后就销声匿迹,原因令人心疼,中国首位进入太空的女航天员
