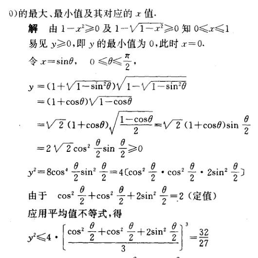
|例题详解求最值常用的24种方法,建议所有高中生都收藏起来!

文章图片

文章图片

文章图片

文章图片

文章图片

文章图片

文章图片

文章图片

文章图片

文章图片
【|例题详解求最值常用的24种方法,建议所有高中生都收藏起来!】
文章图片

文章图片

文章图片

文章图片

文章图片

文章图片

文章图片

文章图片

文章图片

- 家装百科|美元没上榜英镑排第5, 前三你可能都没听过,全球最值钱6大货泉,
- 半身裙|这个秋冬买半身裙,有2个版型最值得
- 高管详解小米对Air 2Pro降噪耳机的较真之处
- 黑喵游妮|阴阳师红叶秘闻竞速打法详解 6分钟内轻松打穿拿全勾玉和低保
- 天涯明月刀|天涯明月刀:提升功力不用愁!装备琢磨系统玩法详解
- 字母哥|详解!一定要走字母哥该去哪儿,五支球队可助他夺冠,逃出东部或是第一选择
- 王者荣耀|S21最值得苦练的战士,夏洛特刮痧,铠手短,重做的他王者归来
- 云顶之弈|云顶之弈版本最强套路闪电狼核心详解以及天谴局置换阵容
- 天涯明月刀|《天涯明月刀》押镖奖励详解
- 5G手机2500最值得入手的3款5G手机,性能给力,一机用三年
