三角函数|三角函数最值问题的几种解法,高考哪种最常见,你知道吗?

文章图片

文章图片

文章图片

文章图片

文章图片
刷百道题 , 不如精通一题;抓一题之精髓 , 会一反三 , 学习事半功倍!
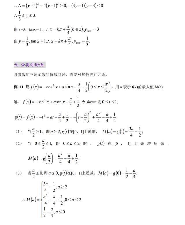
- 在数学课程中 , 三角是联系几何与代数的一座桥梁 , 沟通初等数学和高等数学的一条通道 。
- 三角函数与高中其他数学知识密切相关 , 大量的实际问题的解决也要用到三角函数知识 。
- 这些都说明了三角函数在高考数学中的地位不可小觑 。
(点开查看大图/文末获取电子版)
【三角函数|三角函数最值问题的几种解法,高考哪种最常见,你知道吗?】
因篇幅有限只能展示部分 , 点击作者头像
发送“数学34”即可领取完整版
高中成绩一直不好 , 可能是没有掌握合适的学习方法 , 除了以上分享的资料之外 , 学长还有很多一举成为考场高手的“武林秘籍”等你来领取哦 , 例如《语文备考八式》、《英语写作十一招》、《数学几何五绝技》等 , 如果你想站在考场之巅 , 快来找我 , 一路进阶 , 决胜高考!
- 家装百科|美元没上榜英镑排第5, 前三你可能都没听过,全球最值钱6大货泉,
- 半身裙|这个秋冬买半身裙,有2个版型最值得
- 王者荣耀|S21最值得苦练的战士,夏洛特刮痧,铠手短,重做的他王者归来
- 5G手机2500最值得入手的3款5G手机,性能给力,一机用三年
- 苹果手机买手机别盲目跟风,目前这4部手机最值得买,看看你的上榜了没?
- 斯利廷目前最值得入手的华为手机,麒麟990+徕卡镜头,还有无线充电!
- 智能穿戴什么品牌的蓝牙耳机好?双十一最值得买的好音质蓝牙耳机
- 王者荣耀|最值得苦练的辅助英雄,不是孙膑,也非蔡文姬,而是难度降低的他
- 火科技小米最让人心动的手机?目前小米最值得选择和好评最高三款手机
- 崩坏3|崩坏3:迅雷才是最值得心疼的,如果有专属圣痕或者武器,雷律只能靠边站!
