完美|皱眉细节完美复刻,阿尔伯塔大学团队标星 1.7K 的项目生成超逼真的肖像画( 二 )
监督
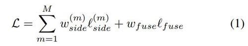
在训练过程中,研究者使用了类似于整体嵌套边缘检测(Holistically-nested edge detection, HED)的深度监督算法。训练过程定义如下:
文章插图
训练过程努力将上述公式 ( 1 ) 的整体损失最小化。在测试过程中,研究者选择将融合输出 l_fuse 作为最终显著图。实验
研究者在 DUTS-TR 上训练了 U^2-Net 网络,该数据集包含 10553 张图片,是目前最大和最常用的显著目标检测数据集。研究者对数据进行了水平翻转,总共获得了 21106 张训练图像。在评估阶段,研究者使用了 DUTOMRON、DUTS-TE、HKU-IS、ECSSD、PASCAL-S、SOD 六个常用的基准数据集来评估方法。
控制变量研究
实验从三个方面来验证 U^2 -Net 的效果:基本块、架构和主干网络。
文章插图
表 2:不同模块的控制变量实验结果。"PLN"、 "RES"、 "DSE"、"INC"、"PPM" 和 "RSU" 分别代表普通卷积块、残差块、 密集块、初始化块、金字塔池化模型和残差 U-block。粗体字代表的是性能最佳的两种。不同方法性能对比
下表 3 展示了在 DUT-OMRON、DUTS-TE、HKU-IS 三个数据集上,本文方法与其他 20 种 SOTA 方法的对比。红、绿、蓝分别代表了性能上的最佳、第二和第三。
文章插图
下表 4 展示了在 ECSSD、PASCAL-S 和 SOD 三个数据集上的方法对比结果。
文章插图
下图 7 展示了本文方法与其他 7 种 SOTA 方法定性比较的结果。 ( a ) 是原图, ( c ) 是本文方法的生成结果。
文章插图
研究团队该研究的第一作者秦雪彬,目前是加拿大阿尔伯塔大学的一名计算机科学在读博士,共同作者还包括 Zichen Zhang、Chenyang Huang、Masood Dehghan、Osmar R. Zaiane 和 Martin Jagersand。
文章插图
左起:秦雪彬、Zichen Zhang、Chenyang Huang。此前,机器之心也介绍过秦雪彬等研究者在显著目标检测方面的另一篇论文《BASNet: Boundary-Aware Salient Object Detection》,该论文被 CVPR 2019 接收。研究公布后,业界随之诞生了许多基于 BASNet 的图像处理工具,比如「隔空移物」神器 AR Cut & Paste、在线抠图程序「ObjectCut」等。
NeurIPS 2020 线上分享:知识图谱嵌入的自动化
论文:《Interstellar: Searching Recurrent Architecture for Knowledge Graph Embedding》。
本篇论文作者受到神经架构搜索(NAS)的启发,提出将 Interstellar 作为一种处理关系路径中信息的循环架构。此外,该研究中的新型混合搜索算法突破了 stand-alone 和 one-shot 搜索方法的局限,并且有希望应用于其他具有复杂搜索空间的领域。
11 月 24 日,第四范式资深研究员姚权铭博士将为大家详细解读此前沿研究。
识别二维码,入群一起看直播。
THE END
转载请联系本公众号获得授权
【 完美|皱眉细节完美复刻,阿尔伯塔大学团队标星 1.7K 的项目生成超逼真的肖像画】投稿或寻求报道:content@jiqizhixin.com
- 高像素|加持高像素只为解析力?vivo S7丛林秘境展对样张细节的要求更严苛
- 用心|用心网友制作了一加9 Pro渲染图:细节程度堪比官方
- 选对|为何都说这次OriginOS的方向选对了?来看下这些细节就知道了
- 刘作虎|一加9系列更多细节曝光,刘作虎也玩起了“三机齐发”
- 高通骁龙888正式发布,5G重大升级更加完美
- 参数|外行看参数内行看细节,新手能牢记这四点,你也算半个内行了
- 不错|年末购机别乱跟风,这三款千元机都不错,性价比高完美符合学生党
- 华为Mate40系列细节曝光,90Hz高刷+红外测温
- 如何让自己的网站变得完美?
- 如何完美的解决seo站点收录问题?
