算法|推荐算法改版前的AB测试( 二 )
假设我们认为,如果新的推荐算法,比原推荐算法,显著高于5%以上,则可将新推荐算法发布至生产环境。
此时我们可以得到假设:
原假设H0:π2-π1≤5%
备择假设H1:π2-π1>5%
2)确定显著性水平α
本次实验中,α 值设定 0.05(5%),这是假设检验中最常用的小概率标准值;表示原假设为真时,拒绝原假设的概率。
3)确定临界值
临界值是显著性水平对应的标准正态分布的分位数,显著性水平0.05的情况下,单侧检验对应的标准正态分布的分位数是1.645,双侧检验的标准正态分布的分位数为1.96。
4)收集实验数据,得出结论
【 算法|推荐算法改版前的AB测试】由样本值求得检验统计量的优化指标的数值。若观察值在拒绝域内,则拒绝原假设H0,否则接受原假设H1。
四、开始测试并分析数据定义新推荐算法的准确率为π1,新推荐算法的准确率为π2。
Ho:π1-π2≤5%
H1:π1-π2>5%
实验目标人群:从进入商城,且使用了“为你推荐”功能的用户流量(UV)中,随机抽取5%,作为实验目标人群;其中的50%为实验组,50%为对照组。
实验时间:1周
假设检验方式:
文章插图
不同的AB测试场景,适用于不同的检验方式,如上图所示。
本次AB测试,由于两个推荐系统版本是独立的,且样本数足够大,认为满足正态分布。
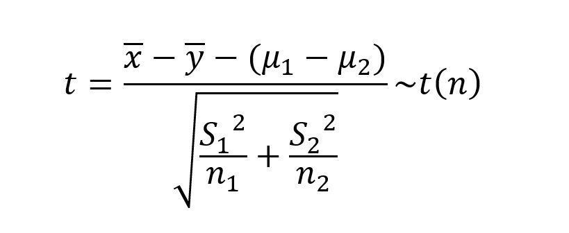
根据HO、H1的假设,可判断本次检验为两个独立样本的总体均值的单侧检验,且总体方差未知,需要用样本方差代替总体方差。
此时计算统计量公式为:
文章插图
显著性水平:0.05。
临界值:在显著性水平为0.05时,单侧检验的临界值Zα为1.645。
实验数据(为方便计算):实验一周后,有10000用户,使用新推荐算法,准确率的平均值为41%,标准差为20%;有10000用户,使用原推荐算法,准确率的平均值为35%,标准差为10%。此时新算法的准确率定义为x,则x的平均值=41%,原算法的推荐率定义为y,则y的平均值=35%。
计算检验统计量:
文章插图
检验结果:统计量Z=4.4722,临界值Zα=1.645.由于统计量的值大于临界值而落入拒绝域内,所以拒绝原假设H0,认为新推荐算法的准确率,比原推荐算法显著高出5%,新版本算法可发布至生产环境。
本文由 @16哥 原创发布于人人都是产品经理,未经许可,禁止转载。
题图来自 unsplash,基于 CC0 协议
- 逛逛|淘宝内容化再升级:“买家秀”变身“逛逛”试图冲破算法局限
- 算法|【远见】个人信息保护法将出台 揭开数据算法的神秘“面纱”
- 订阅|手淘大改版:商家可被“订阅”内容种草与购买转化分离
- 改版|产品观察丨手淘又又又改版了,“逛逛”不买也可以
- 短板|年底换机好推荐,真无短板机称号iQOO 5拿下了
- 最新|2020年12月最新购机推荐,这六款各有优点,实用党首选
- 持续|十一月推荐手机系列,iQOO今年多款机型热度持续
- 极客|极具黑科技含量的AI录音笔推荐:搜狗AI录音笔S1,极客最爱
- 算法|为什么长视频没有强算法推荐的产品
- 效果|这个让你相见恨晚的技巧,能让PPT排版更加有设计感,推荐学习
