介绍神经网络背后的数学( 二 )
令y = [y , y 2 , …y?]和?= [ , ?2 , …??]是实际值和预测值的行向量 。因此 , 上述方程简化为
文章插图
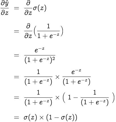
现在 , 让我们找到预测值相对于z的梯度 。这会有点冗长 。
文章插图
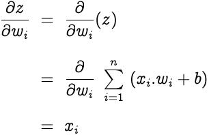
z相对于权重w?的梯度为
文章插图
因此我们得到
文章插图
偏见呢? —理论上 , 偏置被认为具有恒定值1的输入 。 因此 ,
文章插图
优化:优化是从某些可用替代方案中选择最佳元素 , 在我们的案例中 , 优化是选择感知器的最佳权重和偏差 。让我们选择梯度下降作为我们的优化算法 , 该算法会更改权重和偏差 , 与权重函数相对于相应权重或偏差的梯度负值成比例 。学习率(α)是一个超参数 , 用于控制权重和偏差的变化量 。
权重和偏差更新如下 , 重复进行反向传播和梯度下降直到收敛 。
文章插图
最后的想法希望您对本文有所了解 , 并理解神经网络和深度学习背后的数学原理 。我已经在本文中解释了单个神经元的工作 。但是 , 这些基本概念经过一些修改后适用于所有类型的神经网络 。
(本文翻译自Martin Heinz的文章《An Introduction To Mathematics Behind Neural Networks》 , 参考:)
- 开发自|不妥协不追随 Member’s Mark升级背后的“山姆哲学”
- 蓝海|背靠万亿美元市场,老年人会是音乐产业的新蓝海吗?
- 介绍|5分钟介绍各种类型的人工智能技术
- 短视频|全球最火APP?抖音爆火背后离不开这几剂“猛药”为什么抖音能够这么火?
- 借贷消费|花呗该为网贷背锅吗
- a791|比特币接近历史最高价位的背后
- 操作|动用军队“挖”比特币!委内瑞拉秀出神操作,背后原因令人心酸
- 真相|看似免费的“不良网站”,背后靠什么赚钱?知道真相你还会看吗?
- 新闻记者|媒体融合背景下新闻记者如何转型
- 夹缝|“互联网卖菜”背后:夹缝中的菜贩与巨头们的垄断
