登上|AI生成肖像画,精细到毛发!北大校友最新研究收割2.8k星标,还登上了ICPR 2020( 二 )
在今年的MICCAI 2020(国际医学图像计算与计算机介入)大会上,U^2-Net凭借出色的性能表现,在甲状腺结节分割比赛中获得第六名。
接下来,我们说说它是如何做到的。
任何AI处理过程都分为三个阶段:输入目标——模型训练——输出结果。要想达到高质量的生成效果,除了考验模型精度外,当然输入源也很重要。这一点也是我们所能控制的。
对于U^2-Net而言,高质量的照片源可以获得更多细节,所以在上传照片时要注意以下几点:
- 照片中人头区域应接近或大于512x512像素。
- 照片整体大小最好达到960x1280像素。
- 背景要尽量清晰、无干扰。

文章插图
接下来是最关键的目标检测模型(SOD)。
U∧2-Net模型:嵌套式双层U型结构先来看一组与现有最先进SOD模型的比较。
其中红色星标代表U∧2模型(176.3 MB),它在相对小的模型尺寸下,表现出了最高性能。(蓝色星标为4.7 MB的U∧2)

文章插图
之所以达到如此性能,是因为U∧2拥有两层嵌套式U型结构,其中的ReSidual U-Block(RSU)中混合了大小不同的接收域,能够从不同尺度捕获更多语境信息。另外,由于这些RSU块中使用了池化操作,因此可以深度捕获更多细节,同时不会显著增加计算成本。
最关键的是,这种结构体系能够让模型从头训练深层网络,而无需使用图像分类任务的架构。
现在大多数SOD 网络设计都存在这样一个问题:即专注于利用现有的基础网络提取深度特征,例如 Alexnet、VGG、ResNet、ResNeXt、DenseNet 等。但这些主干网络最初都是为图像分类任务设计的。
它们提取代表语义含义的特征,而不是代表局部性细节或全局对照信息,这对于显著性目标检测至关重要,并且这些网络通常需要在 ImageNet 数据上进行预训练,效率比较低。相比之下,U∧2-Net可以有效地避免上述问题。

文章插图
U∧2-Net架构
接下来详细介绍其中的Block结构、网络监督策略以及训练损失。
ReSidual U-Block在图像信息提取中,1×1或3×3的小型卷积滤波器是最常用的特征提取元件。因为它所需内存小且计算效率高。但该元件接收域太小,无法捕获全局信息,因此解决方法只能是采用扩张卷积(Dilated Convolution)的方法来扩大接收域。
然而在原始分辨率的特征图上进行多次扩张卷积(尤其是在初始阶段),会耗费大量的计算和内存资源。
为了降低计算成本,同时又能捕获全局信息,研究人员采用了金字塔池化模块(Pyramid Scene Parseing Network,PSPNet)。该模块在下采样特征映射上使用小核滤波器,而不是在原始尺寸的特征映射上使用扩张卷积的方法。
但通过直接上采样和级联将不同尺度的特征融合,可能会导致高分辨率特征的退化。因此,研究人员受到受U型网络结构的启发,提出了一种全新的ReSidual U-block:RSU,来捕获阶段内的多尺度特征。如图:

文章插图
从测试数据来看,RSU计算开销确实相对较小。与PLN(普通卷积块)、RES(剩余块)、DSE(密集块)、INC(初始化块)相比,所耗费的GFLOPS浮点数最低。(GFLOPS ,全称Giga Floating-point Operations Per Second,即每秒10亿次的浮点运算数,常作为GPU性能参数)。
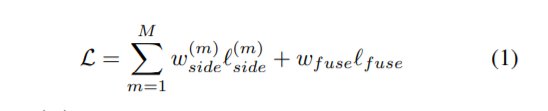
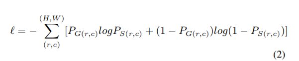
Supervision策略在训练过程中,研究人员采用了类似于HED的深度监督。
其中,训练损失(Training Loss)定义为:

文章插图
每个项L使用标准二进制交叉熵来计算损失:

文章插图
在训练过程,等式(1)让总体损失最小化;在测试过程,选择融合输出的lfuse作为最终的显著性图。
比较实验:全尺寸最佳SOTA在论文中,研究人员将U2模型与其他20多种现有最先进的模型进行了比较。
其中,各模型采用训练数据集是DUTS-TR,它含10553张图像,是目前用于目标检测的最大和最常用的数据集;采用的基准数据集分别为DUT-OMRON、DUTS-TE、HKU-IS、ECSSD、PASCAL-S、SOD六种。
先来看下定性比较的结果:
- 手机|手机续航排名:iPhone12mini垫底,红米Note9登上第一
- Audiobook Builder Mac(有声书生成工具)
- 开发好物推荐9之自动生成在线接口+文档-Knife4j
- 开发好物推荐10之自动批量生成测试数据TstDataB
- 分享|【每日idea分享】11月30日:社交礼物推荐工具;易于记忆的安全密码生成器
- JavaScript不使用for循环,生成1~100数列
- 成长|百度发布滚动截图APP:支持一键生成长截图
- 成长|百度推“滚动截长图”App 支持一键生成长截图更高效
- 识别|这个人工智能工具可以生成逼真的人像来骗过面部识别
- 百度推“滚动截长图”App 支持一键生成长截图更高效
