
文章图片

文章图片

文章图片

文章图片

在之前的《超能课堂(295):真正认识散热风扇的风量与风压》文章中 , 我们和大家简单聊过风扇的风量与风压之间的关系 , 以及P-Q曲线在实际使用中的价值 。 然而有同学提到 , 厂商给出的P-Q曲线是风扇在最大转速下测定而出的 , 而且在实际使用中 , 风扇的转速往往是动态的 , 大部分时候都不是满转速运行 , 因此满转速的P-Q曲线参考价值其实很低 。
那么风扇在满转速下的P-Q特征曲线是否真的意义不大呢?其实在风扇行业内是有一个名为“风扇法则”的规律 , 通过这个规律的灵活运用 , 再结合已有的P-Q特征曲线 , 我们是可以快速判断风扇在不同转速下的工作状况 , 以及它是否可以满足我们使用需求 。
风扇法则是什么?风扇法则描述的是风扇尺寸、风量、风压、转速、功率、噪音以及空气密度等多种参数之间的关系 , 但由于并不是每一个参数都与其它参数有关联 , 例如同一个风扇在不同密度的空气中 , 风量都是不会改变的 , 因此风扇法则包含的并不仅有一个公式 , 而是多个公式的组合 。 通过这些公式 , 我们就可以在大体上了解一款风扇在工作性能 , 并对我们在PC DIY领域中的部分关于风扇选择的问题作出快速解答 。
风扇中的主要参数都与风扇法则有关
风扇法则中涉及的参数包括有D(风扇直径)、N(风扇转速)、P(风压 , 一般指静压)、Q(风量)、W(风功率)、LW(声功率)以及ρ(空气密度) ,而在谈及风扇法则的时候 , 基本都默认风扇的扇叶设计例如角度和叶片数量都是相同的 , 毕竟就算是同尺寸、同转速的风扇 , 改变扇叶设计同样可以带来风量和风压上的不同 , 如果要涉及到这个领域 , 那么风扇参数之间的关系就更复杂了 。
风扇法则应用最广的是与风量、风压以及风功率相关的三个公式 , 以及与噪音相关的声功率公式 , 这次我们就针对这几个公式进行简单的讲解 。
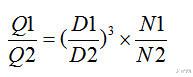
风量公式:转速与风量呈正比首先我们看看风扇的风量与直径、转速之间的关系 , 计算公式如下所示 。
从这个公式我们可以看出 , 风扇的风量与转速呈正比 , 与直径则呈
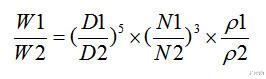
风压公式:转速提升至2倍 , 则风压提升至4倍而风扇的静压不仅与直径以及转速有关 , 空气密度的变化也会影响到
【电子商务|超能课堂(297):如何用风扇法则来推算风扇性能?】对于同一把风扇来说 , 当其实际运行转速只有满转速的1/2时 , 那么其提供的风压就只有满转速下的1/4 , 换句话说 , 改变风扇的转速 , 风压的变化幅度往往会比风量更大 。
而通过这个公式我们也可以看出 , 如果两款风扇的扇叶设计与叶片数量相同 , 仅仅只是尺寸和转速上有所不同 , 同时又满足D1*N1=D2*N2(直径与转速的乘积相同) , 相当于扇叶末端的线速度相同 , 那么两把风扇提供的静压是基本相等的 。 而结合风量公式则可以看出 , 在同样的条件下 , 由于风量与两者的直径则呈
- 电子商务|与电商平台“抢饭碗”?新零售行业已逐渐兴起,实体店老板福来了
- 电子商务|大量实体店倒闭与疫情无关,真正的原因有3个,电商是罪魁祸首
- 电子商务|苹果新专利曝光:AirPods Max 2可能采用触控设计
- 电子商务|这个项目,年前有人赚了上百W
- 电子商务|OPPOReno7Pro与三星GalaxyS21FE详细对比:优缺点一目了然
- 电子商务|我是怎么做电商的——电商混子的职业生涯P3
- 电子商务|头部主播批量被封,直播电商还有未来吗?
- 电子商务|如何在一年内赚到50万?
- 电子商务|合理的利润,在互联网模式对比下就形成了暴利的宰客行为
- 电子商务|折叠屏生态的转折点?OPPO Find N还能这样操作,长见识了
