按关键词阅读:

文章图片
液态水从成千上万米高空落下不会有什么事情,毕竟,我们都淋过雨。如果是水凝结成的固态冰雹,将会造成一定的破坏。如果是一块五吨重的冰从万米高空坠落,结果又会怎样呢?冰块到达地面时的速度有多快?
首先,假设这块5吨重的冰是一块球体。由于冰的密度为900千克/立方米,再结合球的体积公式(V=4/3πr^3)和体积、密度与质量的关系(m=ρV),所以这颗冰球的半径约为1.1米。
我们可以对冰球下落时进行简单的受力分析,在下落的过程中,冰球将会受到两个力的作用,一个是向下的重力G:
G=mg
由于冰球非常庞大,从万米高空下落来不及融化,这可以参考冰雹的情况。因此,可以认为冰球的质量不变,重力也保持不变(万米高度的重力加速度g变化很小)。
还有一个是向上的空气阻力:
F=1/2ρCAv^2
其中ρ为空气密度(1.29千克/立方米),C为阻力系数(球体通常取0.47),A为冰球的投影面积(A=πr^2),v为冰球的速度。
于是,冰球所受的合力为:
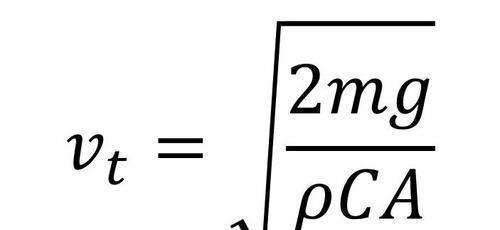
F合=G-F=mg-1/2ρCAv^2
可以看到,随着速度的增加,冰球所受的空气阻力会迅速增加,使得合力不断减小。当冰球的速度达到终端速度时,合力将会变为零,冰球的速度不再增加,空气阻力也不会增加,冰球将会保持终端速度匀速下落。
【 2ρCAv^2|如果一块五吨重的冰从万米高空落下,会砸死人吗】根据上式,可以得到冰球的终端速度vt为:

文章图片
假设冰球从速度为零开始下落,代入数据,可以算出冰球最终会以的206米/秒的速度下落。但还要计算一下冰球是否在达到平衡速度之前已经落到了地面。
冰球的下落过程涉及到变速运动,需要通过微分方程来计算:
F合=ma=mdv/dt=mg-1/2ρCAv^2
令k=1/2ρCA,可得如下的关系式:
mdv/dt=mg-kv^2
对上式进行分离变量,然后积分可得:

文章图片
当t=0时,v=0,所以C=0。最终可以得到冰球在变加速过程中,时间和速度的关系式:

文章图片
或者速度和时间的关系式:

文章图片
再根据下落高度和时间的微分方程:
v=dh/dt
可以得到下落高度和时间的关系式:

文章图片
通过计算可知,冰球在下落到地面之前就已经达到了终端速度,它会以206米/秒的速度撞击地面,其动能可达1.06×10^8焦耳,相当于25公斤的TNT发生了爆炸。显然,如果这样的冰球砸到人,后果将会不堪设想。

文章图片
事实上,不需要这么大的冰球也能致人死亡。对于那些直径可达10厘米的冰雹,其破坏力相当大,有可能会致人伤亡。

文章图片
另外,飞机上也有可能会掉落下“蓝冰”,它们是飞机上的污水渗漏出来凝结而成的冰块。《走近科学》曾经对此有过相关报道,有人误以为蓝冰是所谓的“无根水”,甚至还去尝了一下……

来源:(孤菱社会)
【】网址:/a/2020/0806/kd379850.html
标题: 2ρCAv^2|如果一块五吨重的冰从万米高空落下,会砸死人吗