6月28日,上海阳光医药采购网发布《关于公布全国药品集中采购中选结果的通知》,这意味着第五批国家药品集中采购中选结果正式公布。
与6月23日晚间公布的拟中选结果并无差别,共有61个品种竞标成功,涉及148家企业的251个产品,拟中选药品平均降幅56%。
根据此前公布的集采文件,第五批国家药品集采共涉及62个药品(按照通用名计算共58个品种)137个品规,2020年在省级采购平台金额更是高达550亿元,从数量到采购金额,堪称史上最大规模集采。
据央视财经6月23日报道,国家医保局数据显示,全国患者预计于2021年10月使用上降价后的药品。
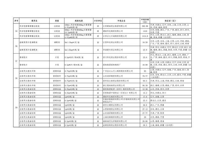
第五批药品集采中选结果如下:
文章插图
文章插图
文章插图
文章插图
文章插图
文章插图
文章插图
文章插图
文章插图
文章插图
文章插图
文章插图
(澎湃新闻)
【 药品|第五批国家药品集采中选结果公布,预计10月能用上降价药品】找采访人员、求报道、求帮助,各大应用市场下载“齐鲁壹点”APP或搜索微信小程序“壹点情报站”,全省600多位主流媒体采访人员在线等你来报料!
文章插图
- 农村墙上拍到一批新标语: 这创意太牛啦!从头笑到尾
- 中医|【2021成绩单①】中医优才项目培养中医药发展主力军,开展19年启动五批培养1700余名中医临床优秀人才
- 犯罪行为|国家药监局将开展药品安全整治行动
- 来安|河南安阳本轮疫情首批两例奥密克戎感染病例治愈出院
- 各省市新建一批怪楼,怪得不可思议!
- 安阳市第五人民医院|安阳首批奥密克戎感染病例治愈出院
- 欧意药业|第七批药品国家集采即将报量,这些重磅品种的格局或受影响
- 中医馆|重庆对首批基层医疗卫生机构“精品中医馆”集中验收
- 注射剂|第七批国家集采开始报量,或纳入208个药品(含目录)
- 出院|中医治疗为主西医治疗为辅 安阳首批两例新冠确诊患者出院
