数学|关于新高考数学试题的猜想,附新高考模拟试卷2套!(转)

文章图片

文章图片

文章图片

文章图片

文章图片

文章图片

文章图片

文章图片

文章图片

文章图片

文章图片

文章图片
今年高考是不再分文理科考试的第一年 , 也就是我们说的新高考的第一年 。 在这种背景下 , 我们不难发现 , 在数学科目考试方面 , 将迎来新高考、新理念、新题型、新变化 。
呼应到数学科目上 , 今年的高考是在数学学科核心素养下的高考 , 是贯彻一核、四层、四翼的评价方案下的高考 。 具体来说 , 要高度重视数学文化、数学应用与建模、数学的本质等 。 也就是说 , 灵活的东西将增多、纯技能型的东西将减少 。
具体表现有哪些呢?
【数学|关于新高考数学试题的猜想,附新高考模拟试卷2套!(转)】1、内容变换
2、题型变化\"8+4+4+6\"
3、题目数量
4、分值变化
5、题目顺序
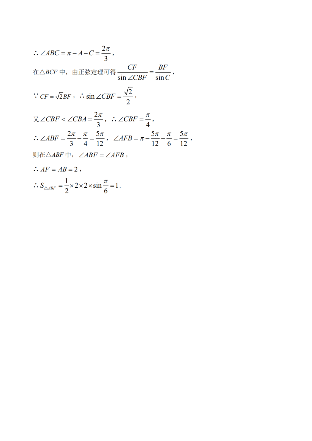
今年高考数学科目主要是开放题、多选题、填空题出现一题两空 。 新题型是新高考的要求 , 国家考试中心也做了大量的调查、试验、论证 。 这也是高考的一种新趋势 , 体现了试题背景的情景化、设问方式的多样化、思维方式的多元化、解答过程的简洁化 。
那么 , 面对新高考的这种新变化 , 现阶段高三的考生们应该如何适应和应对呢?
今年高考最大的变化 , 是考试题型、形式的变化 , 就是出现的多选题、填空题的一题两空 , 还有开放题 。 并由此带来的题目数量、题目分值的变化 。 比如多选题 , 刚开始很多同学不适应 , 把多选题与难题画等号 , 甚至是有的学生选择放弃不做 。 事实上多选题的一个初衷就是缩小得分差距 , 选项完全正确可得5分 , 而部分正确可得3分 , 但是选一个正确答案还是很容易的 , 所以事实上是在缩小得分差距 。 另一个方面多选题并非难题 , 难度并不大 , 只是一种新题型而已 。
- 怎样不秃顶|期中温习: 二年级上册数学加法、减法和乘法应用题, 附谜底
- 南京大学|重大数学发现,一南京大学大学生发现一新最简圆周率公式
- 阔腿裤|初冬了,阔腿裤就收一收吧!今年流行“小脚裤+靴子”,时髦显瘦
- 泰州|中来股份:审议通过《关于控股子公司签订项目合同能源管理协议暨关联交易的议案》
- 股份|中来股份:审议通过《关于控股子公司签订项目合同能源管理协议暨关联交易的议案》
- 数学|很讨厌数学的我,数学是怎么高考考到130
- 物理|“新高考”模式,理科优势明显,但也有弊端,高中生该如何选科?
- 数学|2020丘成桐数学竞赛,不只有清华、北大数学强,这些学校也很厉害
- 居委会大爷|零基础入学如何成为学霸之小学课内数学学习建议
- |新高考文理合并,各院校录取分数及位次有哪些变化?
