同比减少|财通证券上半年IPO完成1单 净利8亿支付职工现金10亿
中国经济网北京9月1日讯 8月29日 , 财通证券(601108.SH)发布了2020年半年度报告 。 今年上半年 , 财通证券实现营业收入28.84亿元 , 同比增长26.25%;实现归属于母公司股东的净利润8.20亿元 , 同比增长12.02%;实现归属于母公司股东的扣除非经常性损益的净利润8.25亿元 , 同比增长13.57%;经营活动产生的现金流量净额14.05亿元 , 同比减少78.60% 。
文章图片
2020年上半年 , 财通证券资产总额为767.34亿元 , 比上年度末增长18.07%;负债总额为551.23亿元 , 比上年度末增长26.30% 。
文章图片
截至2020年6月30日 , 财通证券资产负债率为63.20% , 较上年度末增加4.68个百分点 。
文章图片
2020年1-6月 , 财通证券加权平均净资产收益率为3.79% , 比上年同期增加0.16个百分点;扣非后加权平均净资产收益率为3.81% , 比上年同期增加0.21个百分点 。
文章图片
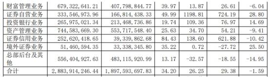
2020年上半年 , 财通证券主营业务分行业情况中,财富管理业务、证券自营业务、投资银行业务、资产管理业务、证券信用业务、境外证券业务均较去年同期有所增长;总部后台及其他则有所下滑 。
报告期内 , 财通证券财富管理业务实现收入6.79亿元 , 同比增加13.87% , 毛利率同比下降6.04百分点;证券自营业务实现收入3.34亿元 , 同比增加1198.81% , 毛利率同比上升28.80百分点;投资银行业务实现收入2.66亿元 , 同比增加109.36% , 毛利率同比上升14.69百分点;资产管理业务实现收入7.45亿元 , 同比增加34.70% , 毛利率同比下降9.41百分点;证券信用业务实现收入2.53亿元 , 同比增加138.60% , 毛利率同比下降10.42百分点;境外证券业务实现收入0.51亿元 , 同比增加0.72% , 毛利率同比上升25.50百分点;总部后台及其他实现收入5.56亿元 , 同比减少32.57% , 毛利率同比下降14.95百分点 。
文章图片
文章图片
投资银行业务中 , 股权业务方面 , 公司完成IPO项目1单 , 承销金额15.85亿元;债券业务方面 , 完成债券承销27单 , 承销金额211.55亿元 , 同比增长87.36%;新三板业务方面 , 截至6月30日 , 持续督导企业190家 。 在审IPO项目6单 , 非公开项目1单 , 可转债2单;债券储备超800亿元 。
据中国经济网采访人员统计 , 今年截至目前 , 财通证券共保荐4家IPO企业过会 。 1月3日 , 财通证券保荐的宁波金田铜业(集团)股份有限公司过会;6月4日 , 财通证券保荐的宁波市天普橡胶科技股份有限公司过会;8月20日 , 财通证券保荐的浙江大洋生物科技集团股份有限公司和浙江亿田智能厨电股份有限公司过会 。
半年报显示 , 2020年上半年 , 财通证券信用减值损失为1664.94万元 , 上年同期为-762.58万元 。 财通证券表示 , 主要系坏账损失、融出资金减值损失、其他债权投资减值损失增加所致 。
2020年上半年 , 财通证券信用减值损失中 , 坏账927.17万元 , 融出资金4906.69万元.买入返售金融资产-5721.77万元 , 债券投资80.86万元 , 其他债券投资1472.00万元 。
- 央视财经|黄金首饰销量同比下降超40%!这类饰品却备受青睐,金价震荡!上半年
- 品牌|长城汽车8月销售8.94万辆,同比增长27.41%
- 售价|佳兆业集团8月份合约销售收入93.6亿元 同比增长1.2倍
- 新华网|世行官员:疫情下减少极端贫困面临更大挑战
- 季报|趣店季报图解:营收同比降47% 净利1.8亿降84%
- 1-8月|长城汽车:8月份销量同比增长27.41%
- 通信视界|同比增长0.1%,中国移动上半年营运收入达到人民币3,899亿元
- 2020年|蚂蚁集团:运营效率继续增强促使毛利率同比增加12.13个百分点
- 显示|新加坡金管局调查显示三季度GDP或同比萎缩7.6%
- 正虹科技|正虹科技:8月生猪销售收入环比减少6.88%
