图文|图文讲解5G调制,特别通俗易懂!( 二 )
文章插图
256QAM:一个符号代表8bit。来个动图,帮助理解:
文章插图
QAM示意图(来自cisco)
从星座图中可以看出PSK调制信号的幅度不变,相位有变化。QAM调制信号的幅度和相位在变化。
正是因为每个符号能代表的bit数不断提升,使得携带的信息量提升,最终让这个“交通工具”能显著提升速率。
可能大家觉得5G好像也不是很难的样子嘛。既然我们已经有了通信模型和星座图两大法宝,是不是可以自己打造一套下一代通信系统出来呢?
Hoho,你以为256QAM就是那么简单就搞出来的吗?上图!
文章插图
3GPP 38.211协议中定义的5G调制方式的映射关系
懵圈了!有木有? 通信搞到最后,都是数学!
调制和解调原理
我们再简单讲一下调制和解调的原理。
5G的各种调制方式,都可以使用IQ调制解调来实现。
我们从公式1出发,进行各种神奇的公式转换。
将公式2画成框图,这个就是IQ调制:
文章插图
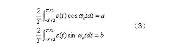
解调是把接收到的调制信号提取出来的过程,调制信号经过解调转换为原始的信号。解调的过程可以通过下面的公式来解释。
文章插图
通过公式3可以看到,接收信号在乘以对应相位的载波后,进行积分,可以得到原始的信号,将公式3画成框图,这个就是IQ解调。
文章插图
将2个框图结合起来,我们下面给出IQ调制和解调的框图。
IQ调制可以用复数的形式进行理解。调制的公式描述:
解调的公式描述:
对应的我们给出复数形式的框图。
这个框图搭配上前面3GPP协议里面的5G调制映射关系,就是一个较为完整的5G的调制和解调过程。是不是彻底懵圈啦?调制解调,从入门到放弃!
- 缩小|调整电脑屏幕文本文字显示大小,系统设置放大缩小DPI图文教程
- mysql 8.0.21 安装配置方法图文教程
- Linux信号透彻分析理解与各种实例讲解
- Python数据分析:Jupyter Notebook 讲解
- 电脑屏幕保护程序设置图文教程,系统电源设置修改关闭显示器时间
- 什么是物联网?常见 IoT 物联网协议最全讲解
- 程序员面试题:Leetcode真题讲解,求两数之和
- 电脑任务栏隐藏图标图文教程,系统任务栏右下角程序图标显示方法
- 隐藏删除文件确认提示框,设置回收站显示删除对话框方法图文教程
- 线上讲座:微波杂志邀请是德科技讲解优化5G NR信号分析的四个技巧
