恒大地产|恒大刷爆全网!被爆有息负债8355亿元?回应:以公告为准!

文章图片

文章图片

文章图片
【恒大地产|恒大刷爆全网!被爆有息负债8355亿元?回应:以公告为准!】
文章图片

今天市场上有两件大事:一是网上疯传恒大集团求助信 , 二是A股跌得稀里哗啦 。
恒大刷屏被爆有息负债8355亿元?回应:以公告为准9月24日 , 一份疑似恒大集团发出的《恒大集团关于恳请支持重大资产重组项目的情况报告》在网络流传 , 文章中 , 恒大集团恳请广东政府支持重大资产重组 , 若重组未能完成 , 可能引发一系列系统性风险 。 同时 , 恒大集团表示 , 如不能按时完成重组 , 将导致深深房中小股东因停牌四年而利益受到巨大损害 , 引发对交易各方、监管部门的法律诉讼或维权行为 。 今日 , 恒大集团相关人士表示 , 目前还不清楚此事 , 没有更多的消息透露 , 一切以公告为准 。
2016年10月3日 , 恒大地产与深深房签署《关于重组 , 上市的合作协议》 , 深深房发行A股股份购买恒大地产100%股权 , 恒大集团将成为深深房的控股股东 。 2017年6月20日 , 香港联交所正式同意恒大集团分拆恒大地产在A股重组上市申请 , 这是香港联交所审批通过的规模最大的一次主业分拆 。 2017年3月 , 按照中国证监会和深交所的有关法规要求 , 恒大地产引入1300 亿元战略投资 。
恒大在情况报告中称 , 本次重组属房地产同行业的兼并重组和存量房地产的优化整合 , 不新增地产上市公司数量 , 不进行任何直接和间接融资 。 同时 , 恒大集团承诺锁定股份5年不减持、不质押融资 , 且承诺上市公司5年内每年现金分红比例不低于68% 。
恒大在情况报告中表示 , 如果恒大地产本次重组未如期完成 , 可能引发一系列系统性风险 。 恒大地产资本金大幅减少 , 现金流断裂如不能按时完成重组 , 公司须在2021年1月31日前偿还战略投资者1300亿元本金并支付137 亿分红 。 1300 亿由权益变为负债 , 资产负债率将大幅攀升至90%以上 , 可能导致恒大地产现金流断裂 。
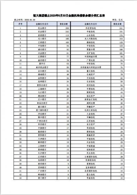
恒大地产现金流断裂将导致恒大集团无法偿债 , 进而引发金融系统性风险 。 截至2020年6月30日 , 恒大集团有息负债余额8355亿元 。 涉及银行类金融机构128 家 , 借款余额2323亿元 , 其中境内银行类金融机构171家 , 借款余额2163亿元 , 主要为民生银行293亿元、农业银行242亿元、浙商银行107亿元、光大银行100亿元、工商银行94亿元、中信银行94亿元等 。 涉及非银行类金融机构121家 , 借款余额3684亿元 , 主要为光大信托278亿元、山东信托176亿元、外经贸信托167亿元、中航信托133亿元、中信信托126 亿元等 。 涉及境内公司债券496亿元 , 境外债券1852亿元 。 如果恒大地产不能按时完成重组 , 可能导致其现金流断裂 , 从而引发恒大集团在相关银行、信托、基金等金融机构及债券市场的交叉违约 , 进而产生金融系统性风险 。
恒大称 , 如不能如期完成重组 , 将严重影响上下游企业正常经营 , 不利于经济健康发展 。
- 企业|商业地产危中有机 房企期盼REITs尽快落地
- 广州恒大|中超归化球星被挖!土超豪门有意冬窗租借,已向恒大报价
- 经济观察报|恒大、中海、碧桂园位列前三,1-9月全国土地成交款同比增13.8%
- 丁祖昱|数据中心成投资新风口“数字地产”受青睐
- 经济观察报资讯|格力地产“大健康”布局成效渐显,控股公司科华生物净利大增
- 房地产|持续回暖! 前9月房地产开发投资同比增5.6%
- 同比|持续回暖! 前9月房地产开发投资同比增5.6%
- 问卷调查|高力国际问卷调查展望 中国房地产市场韧性与活力
- 地产|统计局:三季度GDP增4.9% 分析预计全年增速2%左右
- 观点地产新媒体|9月中国产业地产TOP20报告·观点月度指数
