从Bengio演讲发散开来:探讨逻辑推理与机器学习( 七 )
2.2 SATNet: Bridging deep learning and logical reasoning using a differentiable satisfiability solver [6]
文章插图
本文是 ICML 2019 中获得最佳论文提名的一篇文章 。 由于上一篇文章《Bridging Machine Learning and Logical Reasoning by Abductive Learning》在 2018 年已经在 arXiv 上进行了发布 , 所以本文有参考引用并对比分析了与上一篇文章的不同 。 上一篇文章所介绍的方法是从现有的一组已知关系中创建一个模块(逻辑诱因模块) , 以便深层网络能够学习到这些关系的参数 。 因此 , 该方法需要植入变量之间关系的先验信息 。 本文所提出的方法则是端到端学习这些关系及其相关参数 , 即 , 本文引入了一个可微(平滑)最大可满足性(maximum satisfiability , MAXSAT)求解器 , 并将其直接集成到深度学习系统的回路中 , 而不是作为一个单独的分离模块所考虑 。 该求解器基于快速坐标下降法来解决与 MAXSAT 问题相关的半定程序(semidefinite program , SDP) 。 具体见第一篇文章中的「图 3. ABL 完整框架」 。 ABL 框架包括了两个独立的模块「Machine Learning」和「Logical Abduction」 。 逻辑诱因性分析是一个与机器学习 ML 完全分离的单独模块 。 而在这篇文章中 , 作者考虑 , 不将逻辑推理和 ML/DL 完全分离开 , 而是将逻辑推理作为深度学习系统完整回路中的一个部分 , 实现端到端的学习 。
2.2.1 方法介绍
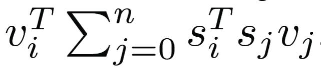
MAXSAT 问题是著名的可满足性(satisfiability , SAT)问题的优化模拟 , 其目标是使满足的子句数最大化 。 作者提出了一个可微的平滑的近似 MAXSAT 解算器 , 可以集成到目前的深度学习网络体系结构中 。 该解算器使用快速坐标下降法来求解 MAXSAT 的 SDP 松弛 。 考虑一个包含 n 个变量和 m 子句的 MAXSAT 实例 。 令 v 表示问题变量的二进制赋值 , v_i 是变量 i 的真值 , 定义 s_i , 其中 s_ij 表述子句 j 中 v_i 的符号 。 MAXSAT 问题定义为:
文章插图
(1)
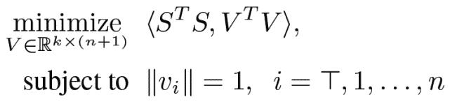
为了形成(1)的半定松弛约束 , 作者首先将离散变量 v_i 松弛为相关的连续变量且满足 ||v_i||=1 , 相对于某个「真值方向」v_T 满足 ||v_T||=1 。 此外 , 定义一个对应于 v_T 的系数 s_T 。 MAXSAT 的 SDP 松弛为:
文章插图
(2)
这个问题是 MIN-UNSAT 的一个低秩(但非凸)公式 , 它等价于 MAXSAT 。 可以将这个公式重写为一个 SDP , 并且已经由研究人员证明给定 k>sqrt(2n)的情况下 , 该式可以恢复最优 SDP 解 。 尽管它是非凸的 , 可以通过坐标下降来优化地解决公式(2) 。 特别是 , 依赖于 v_i 的客观条件表示为:
文章插图
其中 s_i 是 S 的第 i 列向量 。 根据 ||v_i||=1 的约束条件 , 最小化 v_i 的值以得到坐标下降更新:
这些更新可证明能够收敛到 SDP(2)(即公式(2)对应的 SDP)的全局最优不动点 。
使用 MAXSAT SDP 松弛和相关的坐标下降更新 , 作者创建了一个用于可满足性求解的深度网络层(SATNet) 。 令 I 表示已知赋值的 MAXSAT 变量的指数 , O≡\I 对应于未知赋值的变量的指数 。 SATNet Layer 允许以概率或二进制的形式输入 z_l∈[0,1] , l∈I , 然后输出未知变量 z_o∈[0,1] , o∈O 的赋值 , 这些未知变量具有类似的概率值或二进制值 。 令 Z_I 和 Z_O 分别表示全部的输入和输出任务 。
通过 SDP(2)从输入 Z_I 生成输出 Z_O , SATNet Layer 的权重对应于 SDP 的低秩系数矩阵 S 。 完整的前向传递过程如图 1 所示 , 具体的层初始化和前向传递的步骤描述见算法 1 。
- NVIDIA GTC 2020秋季站主题演讲中文字幕版上线
- 2020世界VR产业大会云峰会演讲嘉宾 | 2018年图灵奖获得者,蒙特利尔大学教授Yoshua Bengio
- 智电网|MIDC开幕 雷军演讲,第四届小米开发者大会
- 南方PLUS|“人才日”演讲嘉宾陈宁:AI“追光者”的温暖地带
- 爱因儿科技|并提出解决方案,吴恩达演讲直指AI落地三大挑战
- 科技壹零扒|Bengio、杨强、唐剑领衔!探讨如何构建AI学术研究和产业落地的桥梁
